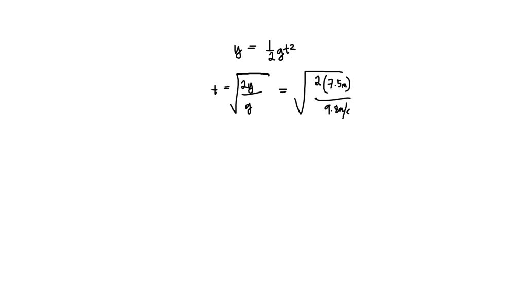
A Tiger Leaps Horizontally From A 7.5 M High Rock

Ever watched a nature documentary and been mesmerized by the sheer power and grace of a big cat? Today, we're going to take a peek into the amazing world of physics and how it applies to one of nature's most incredible athletes: the tiger! Specifically, we're diving into what happens when a tiger leaps horizontally from a 7.5-meter high rock. It might sound like a complex science lesson, but trust us, it's a fascinating and surprisingly fun topic that connects with our innate curiosity about the natural world.
Why is this so cool? Well, it’s all about understanding the principles of motion and gravity in action, showcased by an animal that embodies raw power and agility. For beginners, this is a gentle introduction to how everyday physics works, often hidden in plain sight. You don't need a degree in science to appreciate the elegance of a tiger's leap! For families, it's a fantastic way to spark curiosity in kids. Imagine watching a squirrel jump from a tree – it's the same basic idea, just on a much grander scale! This can lead to fun discussions about gravity, speed, and distance during park visits or even just watching birds in the backyard. For hobbyists interested in nature photography or wildlife observation, understanding projectile motion can help you predict animal behavior and capture those epic shots.
Let's break it down. When a tiger leaps horizontally, it's not just flying through the air! It's a beautiful demonstration of two independent motions happening at once. First, there's the horizontal velocity – how fast the tiger is moving forward. This speed is primarily determined by the powerful muscles in its legs as it pushes off the rock. Second, and just as important, is the vertical motion due to gravity. Once the tiger leaves the rock, gravity immediately starts pulling it downwards. The amazing part is that the horizontal speed doesn't affect how quickly it falls; gravity acts on it at the same rate as if it were just dropped. So, while the tiger is zooming forward, it's also falling towards the ground!
Variations on this theme are everywhere! Think about a diver jumping off a high board. They push forward and then gravity takes over. Or even a basketball player shooting a jump shot – the ball follows a similar arc. If you're interested in more advanced exploration, you could consider how wind resistance might affect the tiger's trajectory or what happens if the tiger leaps at an angle instead of purely horizontally. For a simpler, relatable example, imagine throwing a ball as hard as you can horizontally across a field. It travels a distance before hitting the ground, and the harder you throw it, the further it goes, but it still falls at the same rate as if you just dropped it.

Getting started with appreciating this concept is incredibly easy. The next time you're outdoors, observe any creature that jumps. A cat leaping onto a counter, a dog jumping over a puddle – they're all illustrating the same principles. You can even experiment yourself with a small object, like a toy car, by giving it a gentle push off a raised surface and seeing how far it travels. For families, a simple game of throwing different objects from a small height and measuring the distance can be a lot of fun and educational. Look up "projectile motion basics" online for some easy-to-understand diagrams and videos that visually explain these concepts.
Ultimately, understanding the physics behind a tiger's leap isn't just about numbers and formulas. It's about appreciating the incredible engineering of the natural world and the sheer brilliance of animal movement. It’s a fun reminder that science is all around us, making even the most powerful predators' actions a source of wonder and learning.
